首页 > 法定主动公开内容 > 双随机一公开 > 抽查结果

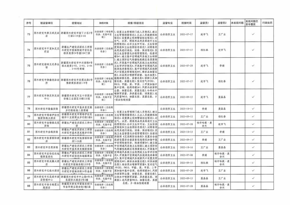
2025年第三师卫生健康委员会开展国家“双随机-一公开”监督抽检任务结果公示

发布时间:2025-11-25 13:00:00来源:卫生健康委员会作者:编辑:葛峻峰字号:[大]  [中]  [小][打印本页]