首 页
领导之窗
政务公开
办事服务
互动交流
师市概况
首页
>
手机版
>
新闻中心
>
通知公告
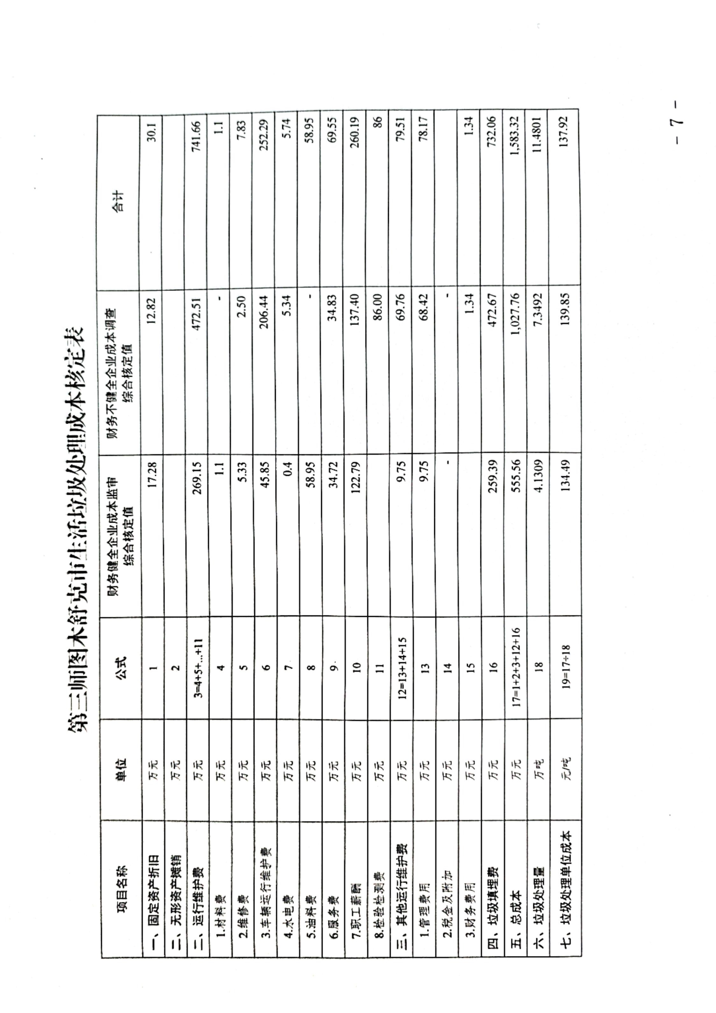
关于第三师图木舒克市生活垃圾处理成本监审结论的公告
发布时间:2026-01-05
来源:发改委
附件:第三师图木舒克市生活垃圾处理成本核定表